test-3-take-home-maple.mw

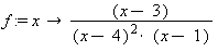
f := proc (x) options operator, arrow; (x-3)/((x-4)^2*(x-1)) end proc 

proc (x) options operator, arrow; (x-3)/((x-4)^2*(x-1)) end proc 

convert(f(x), parfrac) 

1/3/(x-4)^2+2/9/(x-4)-2/9/(x-1) 

int(1/3/(x-4)^2+2/9/(x-4)-2/9/(x-1), x) 

-1/3/(x-4)+2/9*ln(x-4)-2/9*ln(x-1) 

ApproximateInt(x^(1/2)*sin(x), 0 .. 4, 'partition' = 8, 'method' = trapezoid, 'partitiontype' = normal, 'output' = 'plot')
ApproximateInt(x^(1/2)*sin(x), 0 .. 4, 'partition' = 8, 'method' = trapezoid, 'partitiontype' = normal, 'output' = 'plot')
ApproximateInt(x^(1/2)*sin(x), 0 .. 4, 'partition' = 8, 'method' = trapezoid, 'partitiontype' = normal, 'output' = 'plot')
 

ApproximateInt(x^(1/2)*sin(x), 0 .. 4, partition = 8, method = trapezoid, partitiontype = normal, output = plot)
ApproximateInt(x^(1/2)*sin(x), 0 .. 4, partition = 8, method = trapezoid, partitiontype = normal, output = plot)
 

with(Student[Calculus1]) 

[AntiderivativePlot, AntiderivativeTutor, ApproximateInt, ApproximateIntTutor, ArcLength, ArcLengthTutor, Asymptotes, Clear, CriticalPoints, CurveAnalysisTutor, DerivativePlot, DerivativeTutor, DiffTu...
[AntiderivativePlot, AntiderivativeTutor, ApproximateInt, ApproximateIntTutor, ArcLength, ArcLengthTutor, Asymptotes, Clear, CriticalPoints, CurveAnalysisTutor, DerivativePlot, DerivativeTutor, DiffTu...
[AntiderivativePlot, AntiderivativeTutor, ApproximateInt, ApproximateIntTutor, ArcLength, ArcLengthTutor, Asymptotes, Clear, CriticalPoints, CurveAnalysisTutor, DerivativePlot, DerivativeTutor, DiffTu...
[AntiderivativePlot, AntiderivativeTutor, ApproximateInt, ApproximateIntTutor, ArcLength, ArcLengthTutor, Asymptotes, Clear, CriticalPoints, CurveAnalysisTutor, DerivativePlot, DerivativeTutor, DiffTu...
[AntiderivativePlot, AntiderivativeTutor, ApproximateInt, ApproximateIntTutor, ArcLength, ArcLengthTutor, Asymptotes, Clear, CriticalPoints, CurveAnalysisTutor, DerivativePlot, DerivativeTutor, DiffTu...
[AntiderivativePlot, AntiderivativeTutor, ApproximateInt, ApproximateIntTutor, ArcLength, ArcLengthTutor, Asymptotes, Clear, CriticalPoints, CurveAnalysisTutor, DerivativePlot, DerivativeTutor, DiffTu...
[AntiderivativePlot, AntiderivativeTutor, ApproximateInt, ApproximateIntTutor, ArcLength, ArcLengthTutor, Asymptotes, Clear, CriticalPoints, CurveAnalysisTutor, DerivativePlot, DerivativeTutor, DiffTu...
[AntiderivativePlot, AntiderivativeTutor, ApproximateInt, ApproximateIntTutor, ArcLength, ArcLengthTutor, Asymptotes, Clear, CriticalPoints, CurveAnalysisTutor, DerivativePlot, DerivativeTutor, DiffTu...
[AntiderivativePlot, AntiderivativeTutor, ApproximateInt, ApproximateIntTutor, ArcLength, ArcLengthTutor, Asymptotes, Clear, CriticalPoints, CurveAnalysisTutor, DerivativePlot, DerivativeTutor, DiffTu...
[AntiderivativePlot, AntiderivativeTutor, ApproximateInt, ApproximateIntTutor, ArcLength, ArcLengthTutor, Asymptotes, Clear, CriticalPoints, CurveAnalysisTutor, DerivativePlot, DerivativeTutor, DiffTu...
[AntiderivativePlot, AntiderivativeTutor, ApproximateInt, ApproximateIntTutor, ArcLength, ArcLengthTutor, Asymptotes, Clear, CriticalPoints, CurveAnalysisTutor, DerivativePlot, DerivativeTutor, DiffTu...
[AntiderivativePlot, AntiderivativeTutor, ApproximateInt, ApproximateIntTutor, ArcLength, ArcLengthTutor, Asymptotes, Clear, CriticalPoints, CurveAnalysisTutor, DerivativePlot, DerivativeTutor, DiffTu...
 

ApproximateInt(x^(1/2)*sin(x), 0 .. 4, 'partition' = 8, 'method' = trapezoid, 'partitiontype' = normal, 'output' = 'plot')
ApproximateInt(x^(1/2)*sin(x), 0 .. 4, 'partition' = 8, 'method' = trapezoid, 'partitiontype' = normal, 'output' = 'plot')
ApproximateInt(x^(1/2)*sin(x), 0 .. 4, 'partition' = 8, 'method' = trapezoid, 'partitiontype' = normal, 'output' = 'plot')
 

 

Plot 

 

ApproximateInt(x^(1/2)*sin(x), 0 .. 4, 'partition' = 8, 'method' = midpoint, 'partitiontype' = normal, 'output' = 'plot')
ApproximateInt(x^(1/2)*sin(x), 0 .. 4, 'partition' = 8, 'method' = midpoint, 'partitiontype' = normal, 'output' = 'plot')
ApproximateInt(x^(1/2)*sin(x), 0 .. 4, 'partition' = 8, 'method' = midpoint, 'partitiontype' = normal, 'output' = 'plot')
 

 

Plot 

 

ApproximateInt(x^(1/2)*sin(x), 0 .. 4, 'partition' = 8, 'method' = simpson, 'partitiontype' = normal, 'output' = 'plot')
ApproximateInt(x^(1/2)*sin(x), 0 .. 4, 'partition' = 8, 'method' = simpson, 'partitiontype' = normal, 'output' = 'plot')
ApproximateInt(x^(1/2)*sin(x), 0 .. 4, 'partition' = 8, 'method' = simpson, 'partitiontype' = normal, 'output' = 'plot')
 

 

Plot 

 

g := proc (x) options operator, arrow; x*sin(x) end proc 

proc (x) options operator, arrow; x*sin(x) end proc 

gp := D(g) 

proc (x) options operator, arrow; sin(x)+x*cos(x) end proc 

gpp := D(gp) 

proc (x) options operator, arrow; 2*cos(x)-x*sin(x) end proc 

gppp := D(gpp) 

proc (x) options operator, arrow; -3*sin(x)-x*cos(x) end proc 

gpppp := D(gppp) 

proc (x) options operator, arrow; -4*cos(x)+x*sin(x) end proc